欢迎来到 济南中创工业测试系统有限公司
更新时间:2019-12-09 浏览次数:
微孔橡胶垫板静刚度试验机主要用于铁路行业橡胶垫板的动刚度、动载荷、承载力、动压力、横向荷载等力学性能测试。
测试原理:
通过橡胶垫板动刚度试验机以恒定频率对微孔橡胶-垫板施加垂向循环荷载,测定比较大和比较小荷载下微孔橡胶华板的比较大和比较小垂向位移。
微控橡胶垫板动刚度试验机满足的要求:
1、能在4Hz±1Hz频率下能施加至150kN荷载,精度等级不应低于1级的动刚度试验机。
2、加载衔架钢板结构:衔架钢板要具有足够的刚度,施加150kN荷载时无翘曲变形。
3、支承衍架钢板与加载衍架钢板相同,施加150 kN荷载时无翘曲变形。
4、能在4Hz±1Hz频率下测定垂向位移、示值误差0.01mm的位移传感器。
5、在试验过程中能进行数字记录并画出荷载一位移曲线、采样频率不低于50 Hz的记录设备。
操作规程:
1、试验环境温度为23℃士2℃。
2、开始试验前,试验用所有试样和设备在23℃士2℃的环境中至少静置24h。
3、把试验装置安放在橡胶垫板动刚度试验机上,安放顺序为支承衍架钢板、微孔橡胶垫板、加载析架钢板。
4、在支承精架钢板的四角处(距左右两边各60mm-80mm处)布置4个位移传感器测定加载彬架钢板相对于支承衍架钢板的位移。
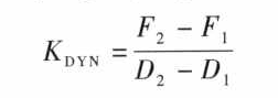
5、将位移传感器置零然后施加2kN-72kN的循环荷载,加载频率4Hz,荷载循环1000次。记录100次荷载循环并选取10个连续循环中施加施加的F1和F2和加载衍架钢板位移D1、D2。计算10个循环F1、F、D1、D2。根据公式计算微孔橡胶垫板的动刚度:
6、当任何一个位移传感器在F2和F1作用下的位移差与4个位移传感器实测平均值的位移差(D2-D1)值相差大于20%,时,应重复进行试验,使荷载施加到微孔橡胶垫板的中央。
试验报告:
试验报告应至少包括以下内容:
1、被测微孔橡胶垫板的名称和型号;
2、试样来源;
3、试验室名称和地址;
4、试验方法;
5、试验日期;
6、试验结果;
7、试验人员和技术负责人。
相关文章:
橡胶垫板动静刚度试验机生产厂家直销价格 橡胶杆做疲劳试验时如何取样?
金属橡胶材料疲劳试验机损伤性能研究分析 牵引拉杆橡胶件静刚度试验机方法
橡胶静刚度试验机操作规程及测试结果分析 橡胶缓冲器静刚度试验机测试方法
厂家提供垫板橡胶疲劳试验机操作规程视频 机车车辆橡胶件寿命试验分析
橡胶减震器疲劳试验机如何选择设备 橡胶隔震垫疲劳试验机的应用范围
橡胶衬套动静(扭转)刚度~耐久疲劳~载荷寿命试验机 橡胶套靴静刚度试验机测试方法
橡胶套靴耐久疲劳试验机试验方法 橡胶垫板静刚度试验机测试方法

销售总机:0531-85990007 传真:+86-531-85997770
常规设备:18615658728 13031706888
非标定制:18615658711 18615658716
邮箱:jnzcgy@163.com Skype:jnzcgy_zjc@hotmail.com
售后电话:0531-62302272 售后:jnzcgy_service@163.com
地址:山东省济南市槐荫经济开发区西沙路690号
版权所有:济南中创工业测试系统有限公司 | 鲁ICP备10018659-1号