欢迎来到 济南中创工业测试系统有限公司
更新时间:2019-12-06 浏览次数:
橡胶垫板静刚度试验机主要用于铁路行业橡胶垫板的静刚度、静载荷、承载力、静压力、垂向荷载等力学性能测试。
测试原理:
通过橡胶垫板静刚度试验机向微孔橡胶垫板施加垂向荷载,测定比较大和比较小荷载下微孔橡胶垫板的比较大和比较小垂向位移。
橡胶垫板静刚度试验机满足的要求:
1、能施加至150kN荷载,精度等级不应低于1级的静刚度试验机。
2、加载衔架钢板结构:衔架钢板要具有足够的刚度,施加150kN荷载时无翘曲变形。
3、支承衍架钢板与加载衍架钢板相同,施加150 kN荷载时无翘曲变形。
4、示值误差0.01mm的位移传感器。
5、在试验过程中能进行数字记录并画出荷载一位移曲线、采样频率不低于50 Hz的记录设备。
试验步骤:
1、试验环境温度为23℃士2℃。
2、开始试验前,试验用听有试样和设备在23℃士2℃的环境中至少静置24h。
3、把试验装置安放在橡胶垫板静刚度试验机上,安放顺序为支承衍架钢板、微孔橡胶垫板、加载析架钢板。
4、在支承精架钢板的四角处(距左右两边各60mm-80mm处)布置4个位移传感器测定加载彬架钢板相对于支承衍架钢板的位移。
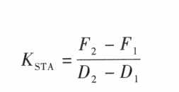
5、将位移传感器置零然后以60kN/min±10kN/min的速度加载至80kN,分别己录荷载加载至F1( 2 kN)和F2(72kN)时加载钢板的位移D1、D2均为4个位移传感器的平均值)、按公式计算橡胶垫板的静刚度:
6、当任何一个位移传感器在F2和F1作用下的位移差与4个位移传感器实测平均值的位移差(D2-D1)值相差人于20%,时,应重复进行试验,使荷载施加到微孔橡胶垫板的中央。
7、重复上述试验两次,每次卸载后停留1min再继续加载,以第二次试验值作为微孔橡胶垫板静刚度。
相关文章:
橡胶垫板动静刚度试验机生产厂家直销价格 橡胶杆做疲劳试验时如何取样?
金属橡胶材料疲劳试验机损伤性能研究分析 牵引拉杆橡胶件静刚度试验机方法
橡胶静刚度试验机操作规程及测试结果分析 橡胶缓冲器静刚度试验机测试方法
厂家提供垫板橡胶疲劳试验机操作规程视频 机车车辆橡胶件寿命试验分析
橡胶减震器疲劳试验机如何选择设备 橡胶隔震垫疲劳试验机的应用范围
橡胶衬套动静(扭转)刚度~耐久疲劳~载荷寿命试验机 橡胶套靴静刚度试验机测试方法

销售总机:0531-85990007 传真:+86-531-85997770
常规设备:18615658728 13031706888
非标定制:18615658711 18615658716
邮箱:jnzcgy@163.com Skype:jnzcgy_zjc@hotmail.com
售后电话:0531-62302272 售后:jnzcgy_service@163.com
地址:山东省济南市槐荫经济开发区西沙路690号
版权所有:济南中创工业测试系统有限公司 | 鲁ICP备10018659-1号