欢迎来到 济南中创工业测试系统有限公司
更新时间:2019-12-04 浏览次数:
橡胶套靴静刚度试验机主要用于30t轴重铁路隧道内弹性支撑块轨道部件橡胶套靴的静刚度、静载荷、静载力性能测试。
测试原理:
通过橡胶套靴静刚度试验机向橡胶套靴短侧边试样(270 mm x 160 mm)施加垂向荷载,测定鼓大和比较小荷载下橡胶套靴短侧边试样的比较大和比较小垂向位移。
橡胶套靴静刚度试验机满足的要求:
1、能施加至少100kN荷载,精度等级不应低于1级的静刚度试验机。
2、加载钢板长度为300mm,宽度为170mm,厚度不应小于40mm的平钢板。
3、支承钢板的长度和宽度不小于被测橡胶套靴短侧边试样的长度和宽度、厚度不小于25mm的平钢板。当静刚度试验机工作台的长度或宽度小于支承钢板的长度或宽度时.支承钢板的厚度不小于40mm。
4、位移传感器示值误差0.01mm的位移传感器。
5、记录设备在试验过程中能进行数字记录并画出荷载一位移曲线、采样频率不低于50Hz的记录设备。
操作步骤:
1、试验环境温度23℃±2℃;
2、开始试验前,试脸用所有试样和设备应在23℃±2℃的环境中至少静置24h;
3、在橡胶套靴静刚度试验机上依次安装:支承钢板、砂布(有砂粒面朝上)、橡胶套靴短侧边试样(270 mmx 160 mm )、砂布(有砂粒面朝h)、加载钢板,在支承钢板上至少布置3个独立的位移传感器,围绕加载头周边等间距布置,测定加载钢板的垂向位移。
4、将位移传感器置零,然后以60kN/min±10kN/min的速度加载至80kN,分别记录荷载加载至2kN和72kN时加载钢板相对支撑钢板的位移。
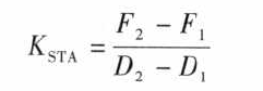
根据公司计算橡胶套靴静刚度:
当任何一个位移传感器在F2,和F1作用下的位移差与3个位移传感器实测平均试的位移差( D2-D1)相差大于20%时,、应重复进行试验,使荷载施加到橡胶套靴短侧边试样的中央。
重复上述试验两次,每次卸载后停留1min再继续加载以第二次试验值作为橡胶套靴短侧边试样静刚度。
当利用静刚度试验机自身的位移传感器测定加载钢板的位移时,需消除试验机加载时自身变形引起的系统误差。
相关文章:
橡胶垫板动静刚度试验机生产厂家直销价格 橡胶杆做疲劳试验时如何取样?
金属橡胶材料疲劳试验机损伤性能研究分析 牵引拉杆橡胶件静刚度试验机方法
橡胶静刚度试验机操作规程及测试结果分析 橡胶缓冲器静刚度试验机测试方法
厂家提供垫板橡胶疲劳试验机操作规程视频 机车车辆橡胶件寿命试验分析
橡胶减震器疲劳试验机如何选择设备 橡胶隔震垫疲劳试验机的应用范围

销售总机:0531-85990007 传真:+86-531-85997770
常规设备:18615658728 13031706888
非标定制:18615658711 18615658716
邮箱:jnzcgy@163.com Skype:jnzcgy_zjc@hotmail.com
售后电话:0531-62302272 售后:jnzcgy_service@163.com
地址:山东省济南市槐荫经济开发区西沙路690号
版权所有:济南中创工业测试系统有限公司 | 鲁ICP备10018659-1号